Bảo dưỡng xe Mitsubishi
Hãng xe Mitsubishi là một trong những hãng xe ô tô lớn của Nhật Bản và cũng có nhiều nét riêng để luôi cuốn khách hàng và khẳng định chỗ đứng của Mitsubishi trên thị trường ô tô đó là:
- Được sản xuất bởi tập đoàn công nghiệp lớn nhất nhì và lâu đời Nhật Bản.
- Các mẫu xe đa dạng, bền bỉ, mạnh mẽ, vận hành êm ái.
- Đa dạng phân khúc từ bình dân đến xe hạng sang đáp ững mọi nhu cầu của khách hàng.
- Các dòng xe được ưa chuộng tại thi trường Việt Nam: Mitsubishi Xpander, Mitsubishi Attrage, Mitsubishi Minage, Mitsubishi Outlander, Mitsubishi Pajero Sport, Mitsubishi Triton, Mitsubishi Xpander Cross.

Để giữ được những sự bền bỉ, mạnh mẽ và vận hành êm ái mọi địa hình cũng cần bảo dưỡng xe Mitsubishi của bạn định kỳ sau mỗi lần đi được 5000km hoặc sau 3 tháng theo khuyến nghị của nhà sản xuất như sau:
- Bảo dưỡng xe Mitsubishi cấp 1: tương ứng 5000km, 15000km, 25000km, 45000km...
- Bảo dưỡng xe Mitsubishi cấp 2: tương ứng 10000km, 30000km, 50000km...
- Bảo dưỡng xe Mitsubishi cấp 3: tương ứng 20000km, 60000km, 100000km...
- Bảo dưỡng xe Mitsubishi cấp 4: tương ứng 40000km, 80000km, 120000km...
Quy trình, hạng mục bảo dưỡng xe Mitsubishi như nào?

Để có công việc bảo dưỡng xe ô tô đảm bảo yêu cầu kỹ thuật cần cò quy trình sửa chữa, bảo dưỡng theo tiêu chuẩn 7 bước như trên.
Trong các bước trên bước nào cũng rất quan trọng, trong đó bước 1 và bước 2 của quá trình bảo dưỡng ô tô sẽ xác định công việc cần bảo dưỡng ở cấp nào và chi phí ra sao. Cách xác định phụ thuộc vào dựa trên quãng đường đi được thuộc cấp bảo dưỡng nào và thực tế hiện trạng của xe. Mời bạn tham khảo thêm các hạng mục công việc cần bảo dưỡng xe Mitsubishi các cấp như sau:
1. Hạng mục bảo dưỡng xe Mitsubishi cấp 1:
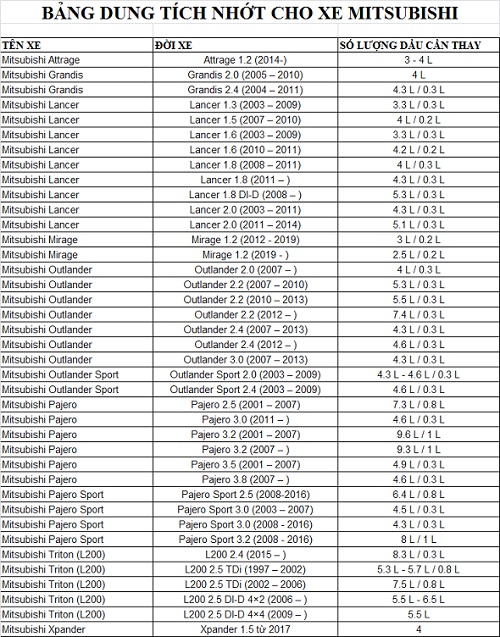
Bảo dưỡng xe Mitsubishi cấp 1 là cấp đầu tiên của bảo dưỡng ô tô, công việc chính của cấp bảo dưỡng này chỉ là thay dầu động cơ đồng thời kiểm tra toàn bộ gầm máy. Sự khác nhau giữa các mẫu xe đến từ định mức dầu của các xe, mời bạn tham khảo bảng định mức dầu động cơ cho các xe Mitsubishi như sau:

2. Hạng mục bảo dưỡng xe Mitsubishi cấp 2:
Bảo dưỡng xe Mitsubishi cấp 2 bao gồm công việc chủ yếu là thay dầu động cơ, lọc dầu động cơ, vệ sinh các loại lọc gió, kiểm tra bổ sung các loại chất lỏng nếu cần, kiểm tra toàn bộ gầm máy.
3. Hạng mục bảo dưỡng xe Mitsubishi cấp 3:
Bảo dưỡng xe Mitsubishi cấp 3 bao gồm các công việc sau:
- Thay dầu động cơ.
- Thay lọc dầu động cơ.
- Thay lọc gió điều hòa.
- Thay lọc gió động cơ.
- Bảo dưỡng phanh 4 bánh, đảo lốp
- Bảo dưỡng, vệ sinh kim phun, họng hút, bugi.
- Kiểm tra, bổ sung nước mát, dầu trợ lực, dầu phanh
- Kiểm tra toàn bộ gầm máy, siết ốc, bơm mỡ...
4. Hạng mục bảo dưỡng xe Mitsubishi cấp 4:
Bảo dưỡng xe Mitsibishi cấp 4 bao gồm các công việc của bảo dưỡng cấp 3 và các hạng mục sau:
- Thay lọc nhiên liệu.
- Kiểm tra thay các loại chất lỏng: nước mát, dầu trợ lực, dầu số, dầu cầu, dầu phanh.
- Bảo dưỡng máy phát, máy đề
- Kiểm tra toàn bộ gầm máy, siết ốc, bơm mỡ...
Để biết chính xác xe Mitsubishi của bạn đang ở cấp bảo dưỡng nào, các hạng mục cần làm là gì hãy liên hệ Hotline/Zalo: 0979.42.70.59 hoặc đưa xe đến trực tiếp Garage HC 579 để được tư vấn và báo giá chính xác.
Địa chỉ bảo dưỡng xe Mitsubishi uy tín tại Hà Nội
Bạn đang phân vân chưa biết sửa chữa bảo dưỡng xe Mitsubishi của bạn ở đâu uy tín, chất lượng. Hãy ghé Garage Auto HC 579 của chúng tôi tại 579 Phúc Diễn, Xuân Phương, Nam Từ liêm Hà Nội.

Tại đây chúng tôi chuyên sửa chữa, bảo dưỡng các loại xe châu Á đặc biệt là dòng xe Mitsubishi. Với cơ sở rộng rãi, sạch sẽ cùng với đội ngũ kỹ thuật viên giàu kinh nghiệm chúng tôi tự tin giải quyết mọi vấn đề, sự cố gặp phải đối với xe Mitsubishi của bạn.
Bảng giá bảo dưỡng xe Mitsubishi là bao nhiêu?
Từ các thông số của từng xe, khuyến nghị của nhà sản xuất ô tô MItsubishi cùng với thực tế các xe đã làm tại Auto HC 579 chúng tôi xin gửi tới bạn bảng giá bảo dưỡng xe Mitsubishi tại Garage Auto HC 579 của chúng tôi như sau:
1. Bảo dưỡng cấp 1:
Chi phí bảo dưỡng cấp 1 bao gồm tiền công và vật từ từ: 350.000vnđ
2. Bảo dưỡng cấp 2:
Chi phí bảo dưỡng cấp 2 bao gồm tiền công và vật tư từ 500.000vnđ
3. Bảo dưỡng cấp 3:
Chi phí bảo dưỡng cấp 3 bao gồm tiền công và vật tư từ 1.500.000vnđ
4. Bảo dưỡng cấp 4:
Chi phí bảo dưỡng cấp 4 bao gồm tiền công và vật tư từ 2.800.000vnđ
Chi phí bảo dưỡng xe Mitsubishi Xpander chi tiết
Mời bạn tham khảo chi phí bảo dưỡng xe Mitsubishi Xpander chi tiết ở bảng giá dưới đây:

Chi phí bảo dưỡng xe Mitsubishi Attrage chi tiết
Mời bạn tham khảo chi phí bảo dưỡng xe Mitsubishi Attrage chi tiết ở bảng giá dưới đây:

Chi phí bảo dưỡng xe Mitsubishi Minage chi tiết
Mời bạn tham khảo chi phí bảo dưỡng xe Mitsubishi Minage chi tiết ở bảng giá dưới đây:

Chi phí bảo dưỡng xe Mitshubishi Triton chi tiết
Mời bạn tham khảo chi phí bảo dưỡng xe Mitsubishi Triton chi tiết ở bảng giá dưới đây:

Với tiêu chí " Chăm sóc, sửa chữa xe đúng nghĩa" Auto HC 579 luôn mong muốn mang đến sự hài lòng của bạn với chất lượng dịch vụ tốt nhất. Nếu bạn cần tư vấn và báo giá về bảo dưỡng xe ô tô Mitsubishi xin hãy liên hệ:
( Mọi tư vấn hoàn toàn miến phí)
- Tư vấn dịch vụ: 24/7: Hotline & zalo: 0979.42.70.59
- Hỗ trợ khách hàng 24/7: Hotline & zalo: 0979.42.70.59
- Chăm sóc khách hàng: 0979.427.059
- Email: [email protected]
Các dịch vụ khác tại Garage Auto HC 579:
- Bảo dưỡng định kỳ ô tô
- Sửa chữa điều hòa ô tô
- Sửa chữa turbo tăng áp ô tô
- Sửa chữa gương đèn ô tô
- Sửa chữa thước lái ô tô
- Sửa chữa đại tu gầm ô tô
- Sửa chữa đại tu động cơ ô tô
- Sơn xe ô tô: Sơn dặm, sơn quây, sơn đổi màu, phục hồi xe tai nạn...
- Sơn lazang - mâm ô tô: Sơn lazang các màu, phay lazang...
- Chăm sóc xe ô tô: Rửa khoang máy, dọn nội thất...
- Cung cấp, lắp đặt phụ kiện xe: Camera, cảm biến áp suất lốp...
CÔNG TY TNHH THƯƠNG MẠI & DỊCH VỤ HC 579
Garage auto HC 579 - " Chăm sóc, sửa chữa xe đúng nghĩa"
Xưởng dịch vụ: Số 579 Phúc Diễn, Xuân Phương, Nam Từ Liêm, Hà Nội
- Website: Autohc.vn
- Youtube: Chung HC 579 Auto
- Fanpage: Garage Auto HC 579
- Google maps: Garage Auto HC ( Định vị xưởng dịch vụ)